大小:880KB更新:2017-10-20 14:50
类别:电子阅读系统:Win7, WinAll
包名:

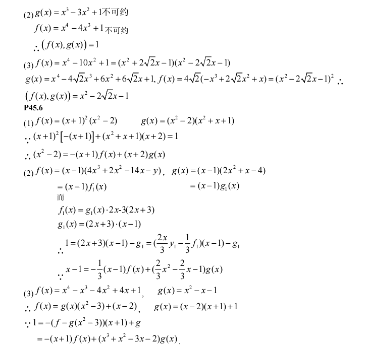
高等代数北京大学第三版是一款电子书格式数学习题,用户可以在线进行学习,重点难题还有详细解题思路和答案提供,让学生可以掌握更多的解题方法,喜欢高等代数的朋友可以来体验!


显示全部
lovelyreader(epub阅读器) 电子阅读1.50M最新版
下载
pdb文件阅读器(pdb阅读器) 电子阅读272KBv2017 绿色版
下载
逍遥快速阅读训练 电子阅读12.10M免费版
下载
PDF XChange Editor修改版(pdf在线编辑工具) 电子阅读138.00Mv6.0.323 最新中文版
下载
操作系统概念第七版2010 电子阅读8.11M中文翻译版
下载
文本小说阅读器软件 电子阅读2.09Mv2017 最新版
下载
福昕阅读器电脑版2024 电子阅读88.38MBv13.3.106.258325
下载
雅乐简谱免费版 电子阅读3MBv1.1
下载
云夹PDF阅读器电脑版 电子阅读7.19 MBV2.1
下载
updf阅读器企业版 电子阅读14.7MBV3.0.8.10
下载
悦书pdf阅读器免费版 电子阅读12.25MV3.0.8.10
下载
金税OFD阅读器电脑版 电子阅读42.6MBV2.3.16.6
下载
悦书pdf阅读器安装包 电子阅读12.25MV3.0.8.10
下载
悦书pdf阅读器中文版 电子阅读12.25MV3.0.8.10
下载
福昕阅读器电脑版 电子阅读88.38MBv11.1.126.51346
下载
壹写作app免费 电子阅读78Mv5.1.1.0
下载