大小:236KB更新:2018-03-21 14:55
类别:理科工具系统:Win7, WinAll
包名:

高等数学公式大全是一款包含了所有数学运算公式的文档,其中包含了很多函数常用公式,掌握后可以在运算中掌握更多的技巧,学习起来会更加的轻松,有需要的用户可以来下载试用阅读!
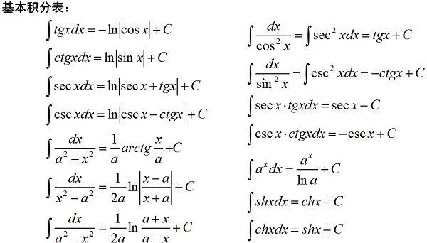
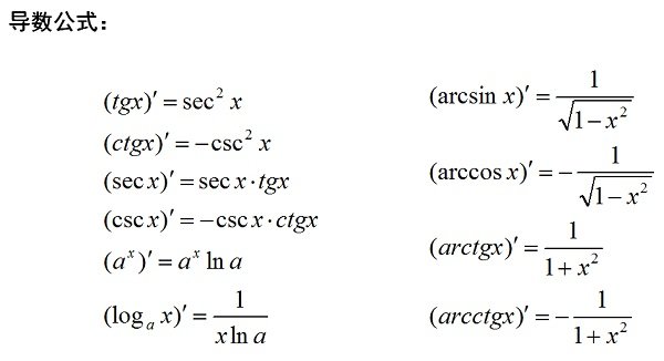
高等数学公式大全是非常齐全的数学运算公式,内容涉及导数公式,基本积分表,三角函数的有理数积分,初等函数,两个重要极限,三角函数公式,高阶导数公式,中值定理与导数应用,曲率,定积分的近似计

高等数学有其固有的特点,就是高度的抽象性、严密的逻辑性和广泛的应用性。抽象性和计算性是数学最基本、最显著的特点-有了高度抽象和统一,我们才能深入地揭示其本质规律,才能使之得到更广泛的应用。严密的逻辑性是指在数学理论的归纳和整理中,都要运用逻辑的规则,遵循思维的规律
显示全部
maple16 理科工具11.29M最新版
下载
小学数学练习机(小学数学学习软件) 理科工具3.34Mv50.0 最新版
下载
Efofex FX Chem(化学公式编辑器) 理科工具13.62Mv3.004.0 官方特别版
下载
电工仿真教学(电工模拟接线软件) 理科工具7.37Mv2017 绿色版
下载
几何画板制作动画 理科工具82.09M中文版
下载
解方程器(解方程软件) 理科工具240KBv2017 最新版
下载
九九乘法口诀表超清版 理科工具13KB可打印版
下载
化学绘图板软件 理科工具752KBv2017 最新版
下载
GeoGebra电脑版 理科工具111MBv6.0.811.0
下载
Maplesoft maple2018免费软件(32位/64位) 理科工具1294.79M免费版
下载
mathematica12中文最新版 理科工具3481.00M
下载
matlab 2016b绿色最新版 理科工具8500.00M免费版
下载
MathType6.7免费最新版 理科工具38.79Mv6.7 简体中文版
下载
originlab2019汉化修改版 理科工具505.50M绿色版
下载
MathWorks Matlab R2018b修改版 理科工具15083.50Mv9.5 中文免费版
下载
几何画板最新纯净版 理科工具82.00Mv5.0.6.5 免费版
下载